当前位置:
首页
>
政务公开
>
公示公告
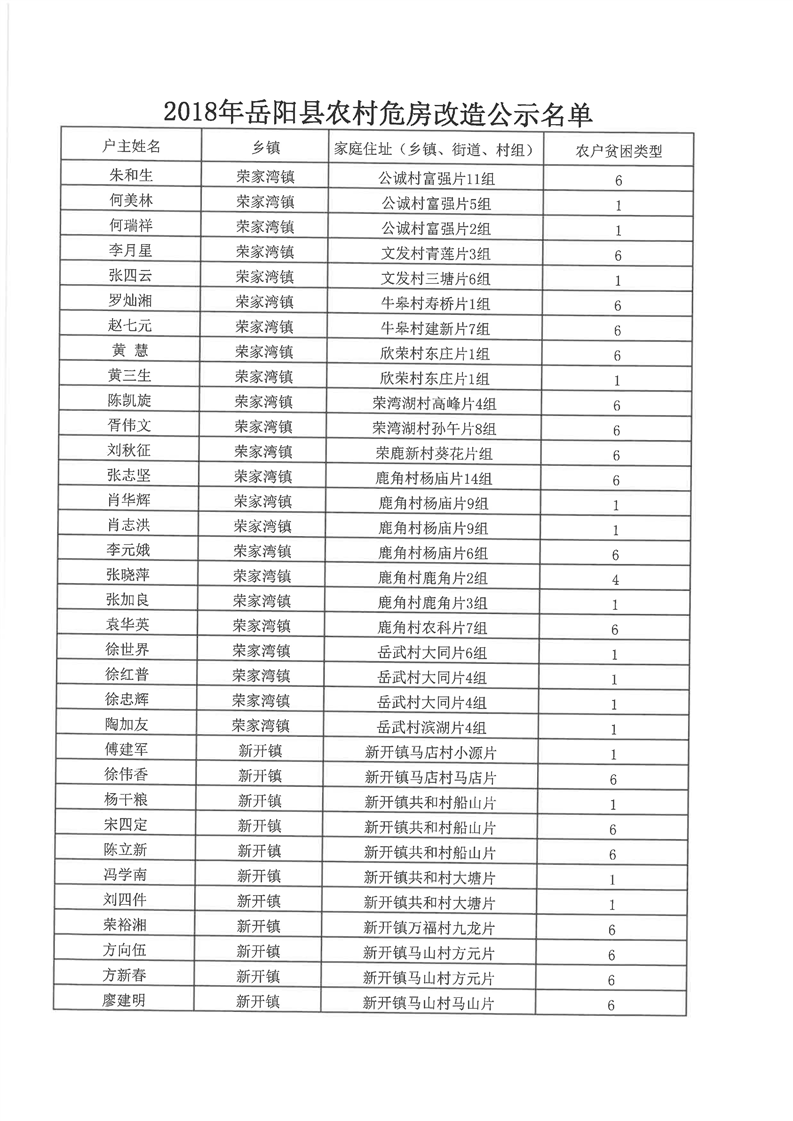
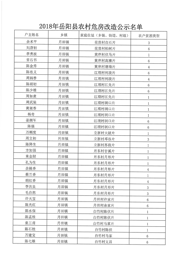
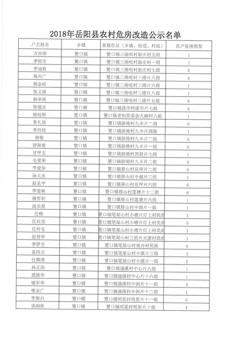
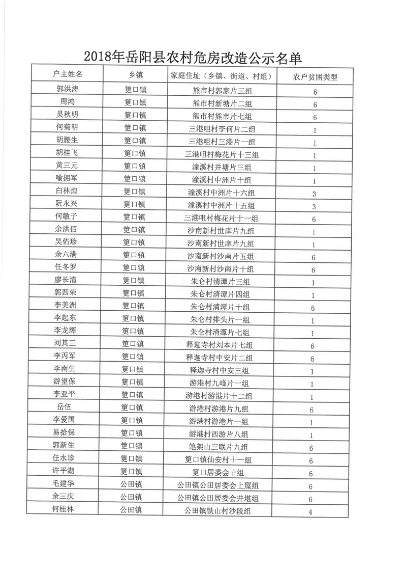
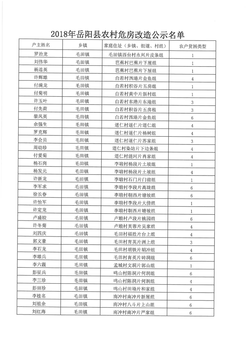
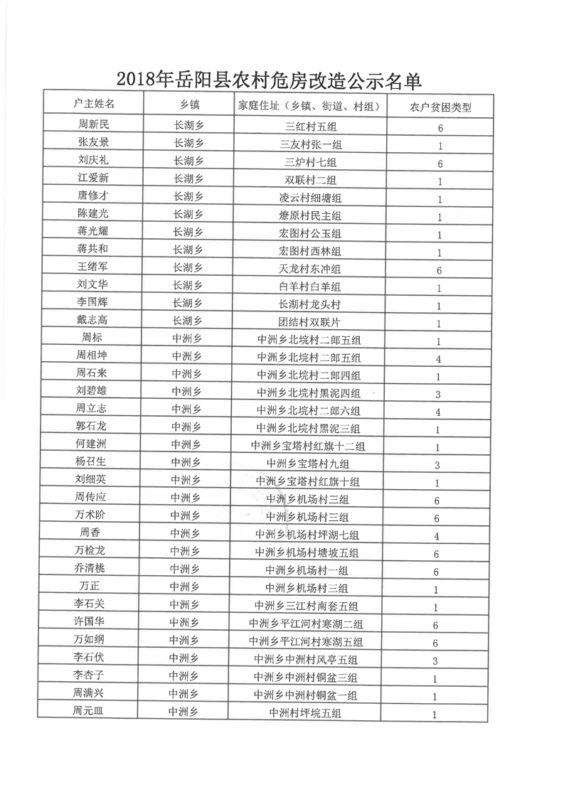
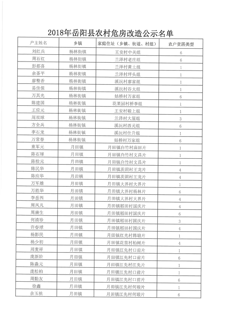
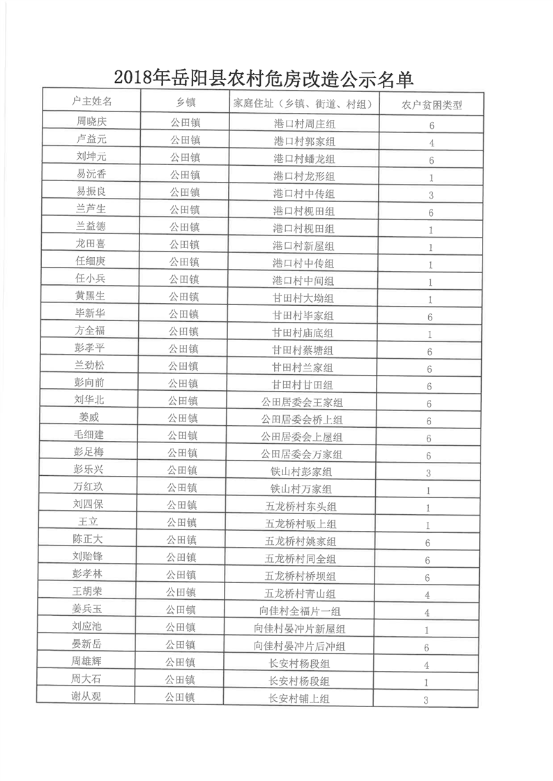
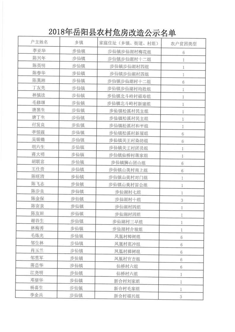
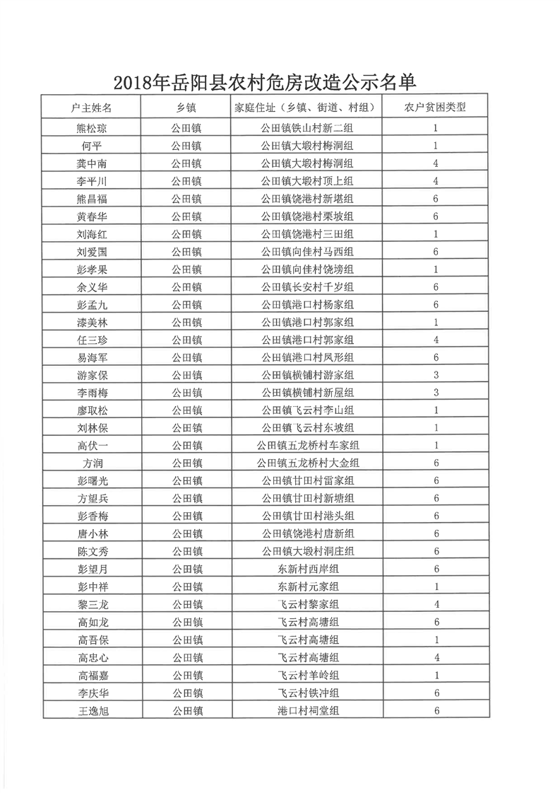
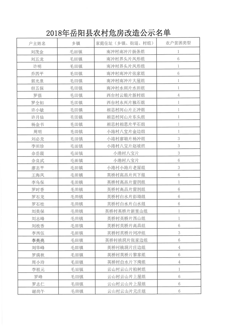
关于对岳阳县住房和城乡建设局承办2018年重点民生实事农村危房改造完成情况的公示
来源:岳阳县住建局
2018-11-23
浏览量:
1
|
|
|
|