当前位置:
首页
>
政务公开
>
公示公告
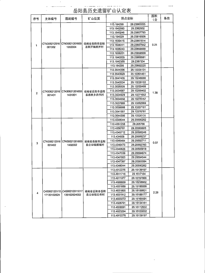
关于岳阳县历史遗留矿山认定的公告(补充认定)
来源:岳阳县自然资源局
2022-09-06
浏览量:
1
|
|
|
|