当前位置:
首页
>
政务公开
>
公示公告
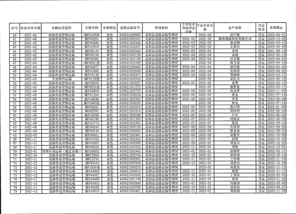
关于注销湘F49220、湘F49126等79辆营运货车《道路运输证》的通告
来源:岳阳县交通运输局
2024-03-01
浏览量:
1
|
|
|
|
附件:
一年以上未进行年度审验且《道路运输证》有效期已到期拟注销《道路运输证》的营运货车清单(截止2024年3月1日).xls