当前位置:
首页
>
政务公开
>
财政预决算公开
>
财政惠民惠农资金
>
其他资金信息
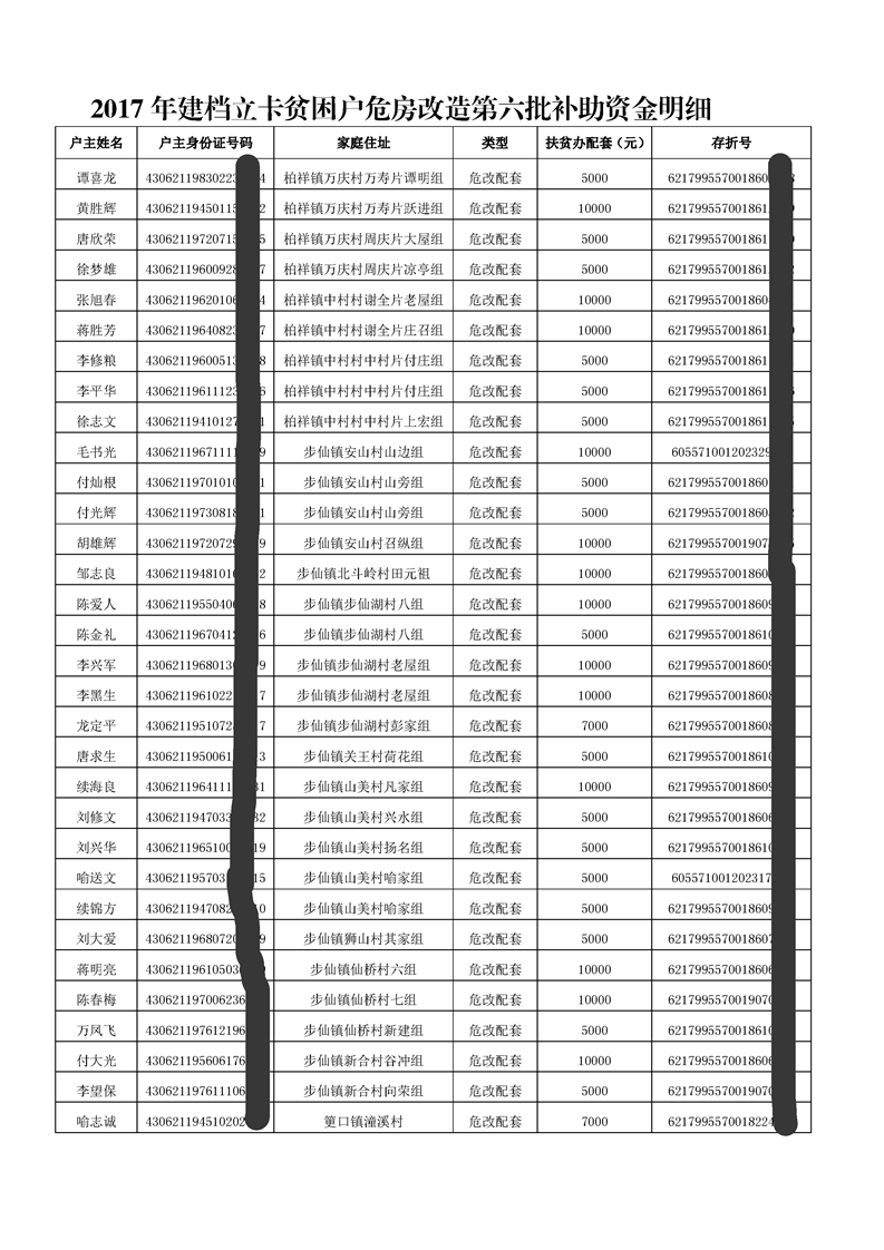
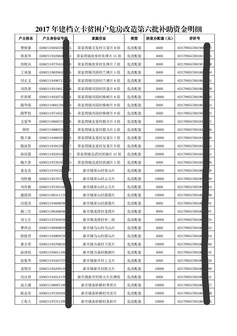
岳县扶发【2018】11号—关于拨付2017年度建档立卡贫困户第六批危房改造配套补助资金
来源:县财政局
2018-06-15
浏览量:
1
|
|
|
|