当前位置:
首页
>
专题专栏
>
政务公开工作要点
>
市场监管
>
失信曝光
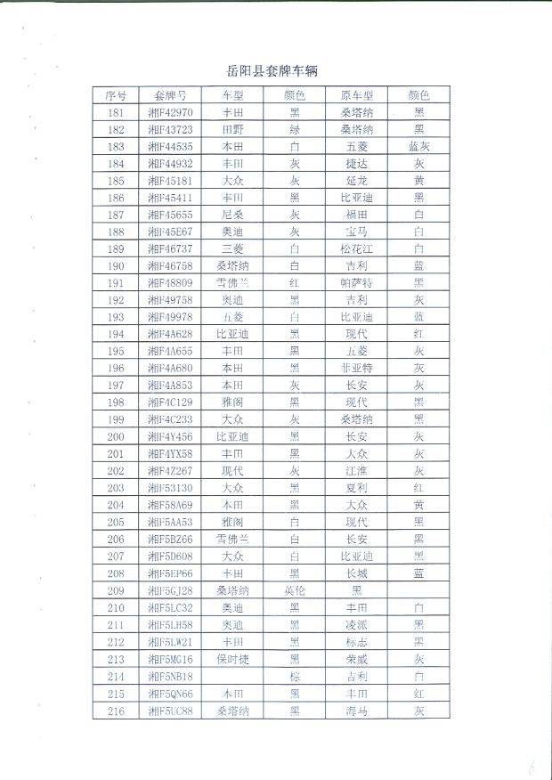
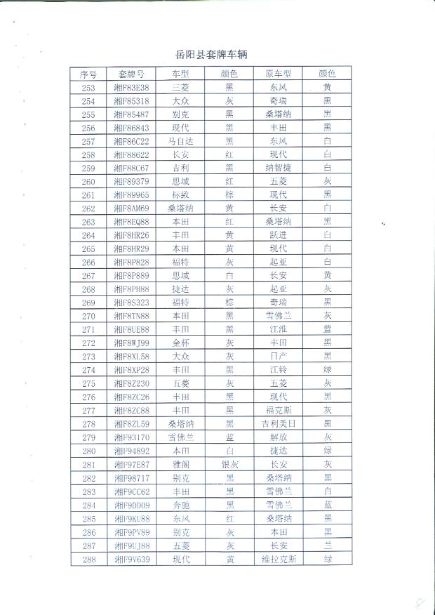
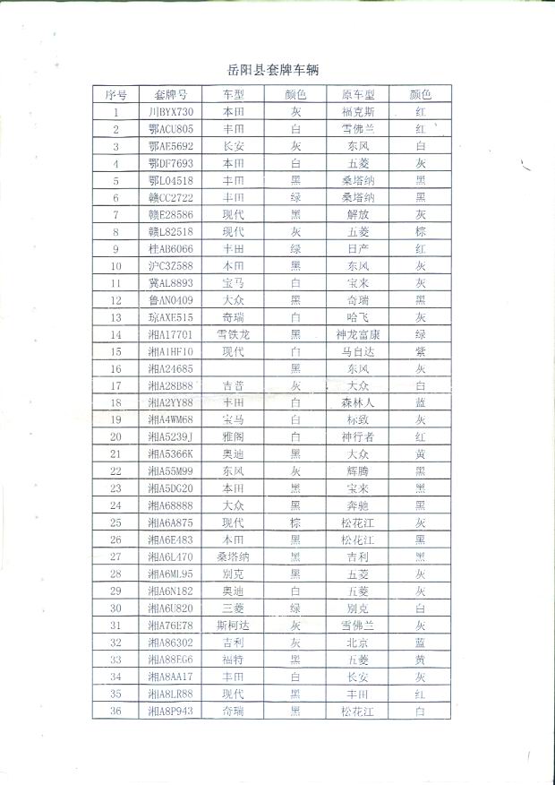
岳阳县套牌车辆
来源:岳阳县政府网
2016-12-22
浏览量:
1
|
|
|
|