当前位置:
首页
>
政府信息公开
>
部门信息公开目录
>
县直部门信息公开
>
交通系统
>
县交通运输局
>
规划计划
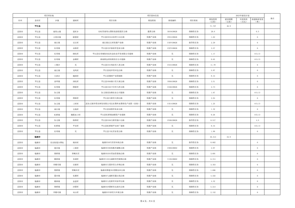
关于下达2025年交通运输固定资产投资计划的通知
来源:岳阳县交通运输局
2025-02-27
浏览量:
1
|
|
|
|
|
关于下达2025年交通运输固定资产投资计划的通知(湘交函〔2025〕47号).pdf