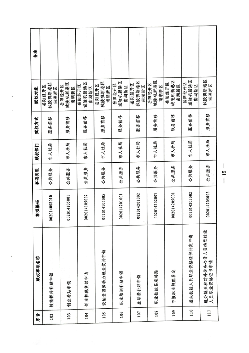
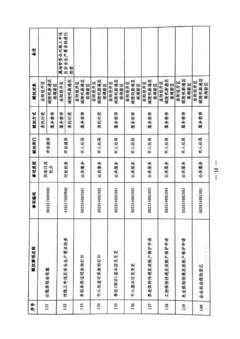
资源详情

关于赋予岳阳经开区、城陵矶新港区、南湖新区和湘江新区湘阴新院区部分市级管理权限的通知

编稿时间:2022-01-21 10:11 来源:岳阳市人社局