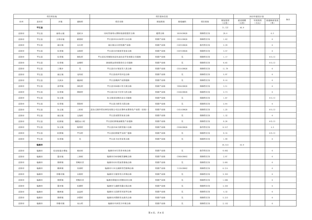
关于下达2025年交通运输固定资产投资计划的通知
详细信息
| 公开具体内容 |
![]() ![]() ![]() ![]() ![]() ![]() ![]() ![]() ![]() ![]() ![]() ![]() ![]() ![]() ![]() ![]() ![]() ![]() ![]() ![]()
|
||
基本信息
| 所属领域 | 交通运输 | ||
| 一级事项 | 公路水运工程基础设施 | 二级事项 | 公共服务信息 |
| 公开时限 | 信息形成之日起20个工作日内公开。法律、法规对政府信息公开期限另有规定的,从其规定。 | 公开方式 | 主动 |
| 公开依据 | 1.《中华人民共和国政府信息公开条例》; 2.交通运输部《公路交通阻断信息报送制度》(交办公路〔2018〕16号); 3.交通运输部办公厅关于印发《交通运输领域基层政务公开标准指引》的通知(交办办(2021)75号) | ||
| 公开主体 | 岳阳县交通运输局 | ||
| 公开层级1 | 县级 | 公开渠道和载体 | 政府网站,社区、企事业单位、村公示栏(电子屏) |
- 详细信息
- 基本信息



















