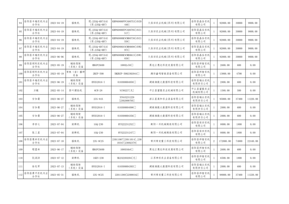
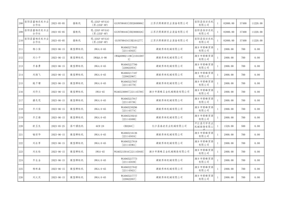
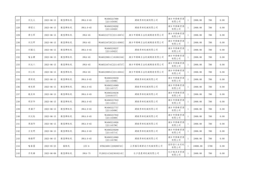
2023年度岳阳县购置补贴第二批机具结算明细表
详细信息
| 公开具体内容 |
![]() ![]() ![]() ![]() ![]() ![]() ![]() ![]() ![]() ![]() ![]() ![]() ![]() ![]() ![]() ![]() ![]() ![]() ![]() ![]() ![]() ![]() ![]() ![]() ![]() ![]() ![]() ![]() |
||
基本信息
| 所属领域 | 涉农补贴 | ||
| 一级事项 | 农业生产发展资金 | 二级事项 | 农机购置补贴 |
| 公开时限 | 信息形成或者变更之日起20个工作日内。法律、法规对政府信息公开的期限另有规定的,从其规定。 | 公开方式 | 主动 |
| 公开依据 | 《农业机械化促进法》、《农业生产发展资金管理办法》、《2018-2020年农机购置补贴实施指导意见》 | ||
| 公开主体 | 县农业农村局 | ||
| 公开层级1 | 县级 | 公开渠道和载体 | 政府网站 |
- 详细信息
- 基本信息



























